zum nächsten Artikel zurück zur Artikelauswahl Kontakt

Inhalt
  1. Ableitung der Rotverschiebungs-Helligkeits-Relation
  2. Der Vergleich mit den astrophysikalischen Messungen
  3. Literatur
  4. Abbildungen
  5. Copyright

Zu einigen Problemen der modernen Kosmologie

I. Zur Interpretation des Hubble-Diagramms

von Steffen Haase, Leipzig, BRD

Zusammenfassung:

Im euklidischen Raum wird hier für den dynamischen scheinbaren Abstand zwischen einem irdischen Beobachter und einem beliebig ausgewählten Sternsystem der vom Photon zwischen beiden zurückgelegte Weg benutzt. Auf Grund dieses Ansatzes ergibt sich eine entfernungsbedingte mittlere scheinbare Grenzhelligkeit der Galaxien von mA = 22,62, die einer heutigen maximalen Entfernung von DA = 3206 Mpc entspricht, wenn in erster Näherung als mittlere absolute Helligkeit für Sternsysteme M = -19,91 angenommen wird. Der heutige Wert des Hubble-Parameters beträgt dann HA = 62,34 km s-1 Mpc-1 und die zugehörige Hubble-Zeit tH = 15,7 x 109 Jahre. Die heutige Dichte des sichtbaren Teils vom Universum ist rA = 7,3 x 10-30g cm-3. Die zu DA gehörende Masse berechnet sich zu MU = 2,96 x 1055g. Für die mittlere absolute Helligkeit der Quasare wird MQ = - 23,07 gefunden.

Abstract:

In the Euclidean space the way covered by a photon between an earthly observer and any galaxy is used as the dynamic apparent distance between the two. Proceeding from this approach the average apparent border magnitude of galaxies, which is dependent on the distance, is mA = 22.62, which corresponds to a present maximum distance of DA = 3206 Mpc, assuming that the mean absolute magnitude for galaxies is M = -19.91 in the first approximation. In this case the present Hubble parameter is HA = 62.34 km s-1 Mpc-1 and the corresponding Hubble time tH = 15.7 x 109 years. The present density of the visible part of the universe is rA=7.3 x10-30g cm-3. The mass corresponding to DA amounts to MU = 2.96 x 1055g. The average absolute magnitude of the quasars is found to be MQ = - 23.07.

Key words: cosmology, Hubble parameter, Hubble time, redshift, quasars, galaxies

zurück zum Inhalt

1. Ableitung der Rotverschiebungs-Helligkeits-Relation

Das einfachste Modell für das Universum ergibt sich durch die Annahme einer homogenen und isotropen Materieverteilung im Weltall gemäß dem Kosmologischen Prinzip. Diese Voraussetzung führt zur Lösung der Einsteinschen Feldgleichungen mit Hilfe der Robertson-Walker-Metrik (RWM)
(1)
Hier ist S(t) der zeitabhängige Skalenfaktor (auch Weltradius genannt), c ist die Lichtgeschwindigkeit und die Krümmungskonstante e kann die Werte ±1 oder 0 annehmen. Die Dimensionsbetrachtung zeigt, daß S in cm oder auch in Mpc gemessen werden kann und die Radialkoordinate r sowie e dimensionslos sind.

Im folgenden wird die Krümmungskonstante stets gleich null gesetzt. Damit sind die weiteren Betrachtungen nur für den Fall des flachen euklidischen Raumes gültig. Die sich im Abschnitt 2 zeigende gute Übereinstimmung der theoretischen Resultate mit den Meßergebnissen der Astrophysik rechtfertigt diese Vorgehensweise.

Für zeitabhängige messbare Abstände liefert die RWM
(2)
wenn e = 0 beachtet wird. R(t) = S(t)r beschreibt den physikalischen Abstand vom Koordinatenursprung r = 0 und trägt ebenfalls die Dimension einer Länge. Die Abstandsänderungsgeschwindigkeit dR/dt berechnet sich zu
(3)
Das letzte Gleichheitszeichen gilt, weil für die extragalaktischen Systeme, die das Substrat des Universums bilden, dr/dt = 0 anzusetzen ist. Diese kosmischen Objekte weisen keine Eigenbewegungen auf, d.h. sie ruhen im Substrat. Das ist eine unmittelbare Folge des im Rahmen der Kosmologie vorrausgesetzten Kosmologischen Prinzips: Das Universum bleibt im Verlauf seiner Entwicklung stets homogen und isotrop.

Das zu R(t) gehörende zeitabhängige kugelförmige Volumen wird durch
(4)
ausgedrückt, wenn auch hier e = 0 berücksichtigt wird. Für die in diesem Volumen enthaltende Masse ergibt sich
(5)
Mit r(t) wurde die zeitabhängige Materiedichte eingeführt. Diese Masse bleibt während der Expansion des Universums zeitlich konstant.

Für einen bestimmten aber beliebigen Zeitpunkt t (z.B. heute) wird der physikalische Abstand zwischen zwei beliebig herausgegriffenen extragalaktischen Objekten an den Koordinatenorten r1 und r2 nach
(6)
berechnet, wenn sich keines der beiden Objekte im Koordinatenursprung befindet (für e = 0). Es ist nun leicht einzusehen, daß ein sich unabhängig vom Substrat bewegendes Photon folgenden Weg zwischen zwei derartigen Galaxien zurücklegt
(7)
wenn mit tE der Emissionszeitpunkt und mit tA der Absorptionszeitpunkt bezeichnet wird. Für den Ort der Emission wurde der Index Q (Lichtquelle) und für den Absorptionsort der Index S (Lichtsenke) eingeführt. Hinter dem letzten Gleichheitszeichen wurde eine vereinfachte Bezeichnung für die hier verwendeten physikalischen Größen eingeführt. Dieser so festgelegte Lichtweg ist es, der in der Rotverschiebungs-Abstands-Relation als scheinbarer Abstand zwischen zwei extragalaktischen Systemen zu berücksichtigen ist. Er ist für die Abschwächung des Lichtes verantwortlich, die ihren Ausdruck in der scheinbaren Helligkeit m findet. Der mit Gleichung (7) definierte Lichtweg entspricht weder dem heutigen Abstand beider Galaxien (RSA-RQA) noch dem Abstand zwischen beiden galaktischen Systemen zum Zeitpunkt der Emission der beobachteten Photonen (RSE-RQE).

Ein maximal möglicher Weg für Photonen ergibt sich für S(tE) = 0 bzw. rQ = 0. Dann gilt gerade Dmax = RSA. Da RQE im allgemeinen Fall ungleich null ist, befindet sich der Emissionsort der Photonen in der Regel nicht im Koordinatenursprung, sondern irgendwo zwischen ihm und der Galaxie, innerhalb der die Photonen beobachtet werden.

Für ein sich in der Materieverteilung kräftefrei und radial bewegendes Teilchen ergibt sich aus der Geodätengleichung der Erhaltungssatz
(8)
d.h. das Produkt aus Impulsbetrag p und Weltradius S ist stets konstant. Hieraus folgt für Photonen mit dem Impuls p = hn/c eine Rotverschiebung z gemäß
(9)
SA ist der Wert vom Weltradius zum Zeitpunkt tA der Absorption (Index A) des Lichtteilchens im Meßgerät (heute) und SE ist die Größe vom Weltradius zum Zeitpunkt tE der Emission (Index E) des Photons

Das Ziel der weiteren Betrachtungen ist es nun, die Rotverschiebung mit der scheinbaren Entfernung D zu verbinden und anschließend D durch die scheinbare Helligkeit m zu ersetzen.

Da sich ein freies Photon immer mit konstanter Lichtgeschwindigkeit durch den euklidischen Raum (die Materieverteilung des Universums) bewegt, ergibt sich für den von ihm in der Zeit zwischen seiner Emission und Absorption zurückgelegten Weg
(10)
Für die Beschreibung der Bewegung der Galaxie, innerhalb der sich der Beobachter befindet, wird die Friedmann-Differentialgleichung
(11)
herangezogen, die sich beim Lösen der Einsteinschen Gleichungen mit Hilfe der RWM ergibt. Sie beschreibt die zeitliche Entwicklung des Skalenparameters bzw. aller physikalischen Abstände im Universum. Für die Bestätigung der letztgenannten Aussage wird dS/dt durch dR/dt und S durch R gemäß den Gleichungen (2) und (3) ersetzt:
(12)
Für die bei der kosmischen Expansion erhalten bleibende Masse M gilt Gleichung (4). Damit wird die Friedmann-Gleichung zu
(13)
umgeformt. Die Integration in den passenden Grenzen ergibt sodann
(14)
Als obere Grenze des Wegintegrals wurde hier RSA gewählt, da das Photon und der Beobachter an diesem Ort zusammentreffen. Angemerkt sei hier, daß R in Gleichung (13) durch die Verwendung des Massenerhaltungssatzes (4) die Oberfläche einer (Friedmann-)Kugel beschreibt, die die Masse M vollständig umschließt. Der betrachtete Beobachter befindet sich demnach auf der Oberfläche dieser Materiekugel.

Über die Gleichsetzung der Zeitintervalle der Gleichungen (10) und (14) folgt für den vom Photon zurückgelegten Weg
(15)
worin der unbekannte physikalische Ort RSE der Beobachter-Galaxie zum Zeitpunkt der Emission des Photons noch zu eliminieren ist. Hierzu eignen sich die Beziehungen RSE = SE rS und RSA = SA rS, da für die beiden Zeitpunkte tE und tA jeweils r = rS gilt (Raumausdehnung auf Grund der zeitlichen Entwicklung von S):
(16)
Als Zwischenergebnis für die gesuchte Abstands-Rotverschiebungs-Relation ergibt sich unter Verwendung von Gleichung (9)
(17)
wobei in dem Vorfaktor der Schwarzschild-Radius RS = 2MG/c2 der für den Beobachter konstant bleibenden Masse M enthalten ist. Für diese Masse gilt nach A. Friedmann der Erhaltungssatz
(18)
über den sich die endgültige Abstands-Rotverschiebungs-Relation
(19)
ergibt, wenn für den Vorfaktor der Grenzabstand
(19a)
eingeführt wird, der im wesentlichen nur von der aktuellen Dichte rA im Universum abhängt. Für diesen Abstand wird z = ¥ erreicht. Außerdem gilt nach Gleichung (17) noch
(19b)
Einen solchen Grenzabstand gibt es in allen Phasen der Entwicklung des Universums, wobei seine Größe wegen der Expansion mit der Zeit ständig zunimmt.

Der Übergang zur scheinbaren Helligkeit m mit Hilfe der wohlbekannten Beziehung (A ist eine Konstante)
(20)
führt auf die Gleichung
(21)
wenn eine dem heutigen Wert von DA zugeordnete scheinbare Helligkeit mA eingeführt wird, die mit einer absoluten Helligkeit MA korrespondiert. Diese Gleichung ist nur von dem Parameter mA abhängig, der durch Vergleich mit einem Hubble-Diagramm festgelegt werden kann. Da ein Hubble-Diagramm aus einer Vielzahl von extragalaktischen Objekten gebildet wird, ergibt sich bei diesem Vergleich stets ein mittlerer Wert für die scheinbare Helligkeit mA. Hierdurch hat auch die zugeordnete absolute Helligkeit MA die Bedeutung eines Mittelwertes. Die durchschnittliche scheinbare Helligkeit mA gehört demnach zu einem kosmischen Objekt mit der durchschnittlichen absoluten Helligkeit MA, das sich gerade im Abstand DA befindet. Zu beachten ist allerdings, daß die von einem solchen Objekt emittierten Photonen gemäß Gleichung (19) bzw. (21) beim Beobachter unendlich rotverschoben ankommen.

Die soeben eingeführte scheinbare Helligkeit mA hat die Bedeutung eines Grenzwertes für heute messende Beobachter und erklärt das allgemeine Fehlen noch größerer entfernungsbedingter Werte von m. Der Abschneideeffekt im rechten Teil des Hubble-Diagramms wird demnach durch den endlichen Wert vom heutigen DA verursacht (siehe hierzu z.B. S. Djorgovski u.a. 1985, Fig.1 und Y. Yoshii u.a. 1988, Fig.3 mit der Erläuterung: "The sample galaxies have almost a constant magnitude of VSM 22-23 mag over the range of z"). Wegen des Mittelwertcharakters der scheinbaren Grenzhelligkeit mA wird man speziell für große Rotverschiebungen im Hubble-Diagramm Objekte rechts und links von mA vorfinden.

Die Krümmung der Kurve im Hubble-Diagramm nach Gleichung (21) für große Werte der scheinbaren Helligkeit ist unmittelbarer Ausdruck für das Friedmannsche Expansionsgesetz (12). Sie zeigt, daß die Geschwindigkeit dR/dt zu Beginn der Expansion sehr groß war, und daß die Abbremsung dieser Bewegung damals wesentlich größer war als zu späteren Zeitpunkten.

In Gleichung (20) und damit auch in den folgenden Gleichungen wird mit Absicht auf die mehrfache Berücksichtigung der Rotverschiebung in Form von zwei (1 + z)-Faktoren im Nenner verzichtet (man vergleiche hierzu z.B. mit der Ableitung des Hubble-Gesetzes bei A. Sandage 1995). Durch die Raumausdehnung während der Lichtlaufzeit wird der vom Photon in Richtung des Beobachters zurückzulegende Weg einfach gedehnt. Dieser Vorgang der Lichtschwächung wird durch die Kombination der Gleichungen (19) und (20) bereits vollständig berücksichtigt. Die gute Übereinstimmung der Meßergebnisse mit der Gleichung (21) führt zu der Erkenntnis, daß beide Robertson-Faktoren überflüssig sind.

Wird die scheinbare Grenzhelligkeit mA mit der absoluten Helligkeit M verknüpft, ergibt sich für DA die Gleichung
(22)
wobei DA in pc herauskommt. Da mA prinzipiell aus dem Hubble-Diagramm abgelesen werden kann, ist eine unabhängige Bestimmung der mittleren absoluten Helligkeit von Sternsystemen ausreichend, um DA berechnen zu können. Wenn DA bekannt ist, kann über
(23)
zu jedem kosmischen System, dessen z und m gemessen wurden, die zugehörige absolute Helligkeit berechnet werden. Das Einsetzen des Entfernungsmoduls in die Gleichung (23) liefert DA direkt, falls auch z bekannt ist.

Es sei hier darauf hingewiesen, daß die Gleichung (23) im Rotverschiebungsterm von der in der Literatur zu findenden Gleichung (siehe hierzu z.B. A. Sandage 1995)
(xxx)
beträchtlich abweicht. Dies zeigt sich besonders deutlich für große Rotverschiebungen. Insbesondere beschreibt die Gleichung (xxx) den Ort der Quasare im Hubble-Diagramm nicht richtig.

Bei Verwendung verschiedener Spektralbereiche (mpg, U, B, V, R, I, J, H, K, L, bJ, bF, ...) sind entsprechend unterschiedliche mittlere scheinbare Grenzhelligkeiten (mpgA, UA, BA, VA, RA, IA, JA, HA, KA, LA, bJA, bFA, ...) zu erwarten. Dies führt zu unterschiedlichen mittleren absoluten Helligkeiten.

Auch zeigen nicht alle Spektralbereiche den von der Theorie erwarteten Anstieg im linearen Teil des Hubble-Diagramms. Diese Tatsache weist offenbar auf Entwicklungseffekte in den entsprechenden Spektralbereichen hin. Meßergebnisse, die diese Spektralbereiche verwenden, sollten daher nicht zur Auswertung mit Hilfe der hier angegebenen Gleichungen herangezogen werden, da mögliche Entwicklungseffekte bei der Ableitung der Gleichungen nicht berücksichtigt worden sind.

Eine weitere wichtige Größe der Kosmologie ist der Hubble-Parameter. Wird die Gleichung (19) nach z aufgelöst
(24)
und diese Beziehung anschließend für kleine Lichtwege D entwickelt, ergibt sich
(25)
worin mit HA der heutige Hubble-Parameter eingeführt wurde.

Das Interessante an der Gleichung (25) ist der Faktor 2/3, wie sich durch den Vergleich der Theorie mit den astrophysikalischen Meßergebnissen zeigt. Dieser Faktor sorgt für die gute Übereinstimmung der oberen Grenze des theoretischen "Weltalters" mit dem Alter von Kugelsternhaufen.

An dieser Stelle sei noch auf ein mögliches Verständnisproblem in Bezug auf die gemeinsame Verwendbarkeit der Gleichungen (12) und (5) hingewiesen: Das Benutzen der Friedmann-Gleichung (12) und des Massenerhaltungssatzes (5) bedeutet, daß sich die Beobachter-Galaxie stets auf der Oberfläche einer Kugel befindet, die gerade die gesamte gravitierende Materie M einschließt, und deren Materiedichte r(t) sich demnach mit der Zeit gleichmäßig verändert. Dabei hat diese Dichte zu jedem beliebig herausgegriffenen Zeitpunkt an allen Orten denselben Wert. Sonst dürfte der Massenerhaltungssatz nicht in der Form mit r ¹ r(R = Sr) verwendet werden, da eine Zerlegung der betrachteten Masse in Volumen und Massendichte nach Art der Gleichung (5) nur für eine Dichte zulässig ist, die nicht vom Abstand abhängt. Weil nach dem Kosmologischen Prinzip alle Beobachter im Universum gleichwertig sind, sitzt jeder dieser Beobachter auf der Oberfläche seiner eigenen (Friedmann-)Kugel. Da er außerdem in jede beliebige Richtung schauen kann und dort auch immer Materie vorfindet, ist er von einer Unzahl solcher aus dem Universum theoretisch herausschneidbaren Kugeln umgeben (die sich natürlich teilweise überschneiden), deren Mittelpunkte (R = 0) sich immer in einem Abstand befinden, der dem aktuellen Radius RSA der Materiekugeln entspricht. Wird diese Vorstellung von dem uns sichtbaren Universum in dieser Form nicht akzeptiert, ist die Friedmann-Gleichung im Zusammenhang mit dem Massenerhaltungssatz für die Lösung kosmologischer Bewegungsprobleme unbrauchbar, da die Friedmann-Gleichung an sich nur eine einzelne Materiekugel mit einer scharf begrenzten Oberfläche beschreibt. Jenseits einer solchen Oberfläche ist bekanntlich keine Materie anzutreffen. - Im Verlauf der hier dargestellten Ableitung des Hubble-Gesetzes zeigte sich, daß der aktuelle Radius dieser Kugeln stets den aktuell maximal möglichen Lichtweg zwischen Lichtquelle und Beobachter darstellt. Hierdurch ergibt sich gerade die Begrenzung der beobachtbaren Größenklassen von kosmischen Systemen für jeden beliebigen Zeitpunkt der Expansion.

zurück zum Inhalt

2. Der Vergleich mit den astrophysikalischen Messungen

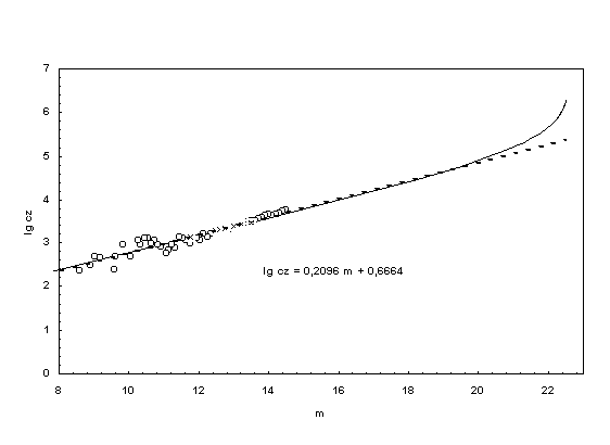
Die Literatur bietet eine Vielzahl von Hubble-Diagrammen an. Hier wird stellvertretend die Zusammenstellung von J. Huchra u.a. (1983) herangezogen, um den Parameter mA zu bestimmen. Da der CfA-Katalog m-begrenzt ist, wurden zur Auswertung dieses Galaxien-Kataloges gleichgroße m-Intervalle gebildet und hierzu die m- und cz-Mittelwerte bestimmt. Das Ergebnis zeigt Abb.1, in der die Mittelwerte durch Kreise dargestellt sind. Die Angleichung der Theorie an die gestrichelt gezeichnete bestangepaßte Kurve durch diese Mittelwerte führt auf mA = 22,62. Diese scheinbare Grenzhelligkeit hat den Charakter eines Mittelwertes, dem über die Gleichung (22) eine mittlere absolute Helligkeit MA zugeordnet werden kann, falls der Grenzabstand DA bekannt ist.
Die Abb.1 zeigt außerdem einige durch Kreuze markierte Galaxien aus dem verwendeten Katalog, die einigermaßen gut mit der besten Kurve korrelieren. Es handelt sich um die NGC-Objekte 4754, 4608, 4532, 520, 3320, 3888, 1032, 3788, 4224, 3876 sowie 3869. Von diesen Galaxien ist NGC 4754 mit m = 11,77 und lg cz = 3,138 am besten für die Eichung der Theorie geeignet, da sie im Vergleich mit den anderen die scheinbar hellste ist. Vielleicht gelingt daher für dieses Objekt die Auflösung von Cepheiden, um den Entfernungsmodul zu finden.
Da hier kein Entfernungsmodul von einem der genannten Objekte zur Verfügung steht, wurde die Literatur nach bekannten Entfernungsmoduli durchgesehen und ein Hubble-Diagramm für die kosmischen Systeme M100 = NGC 4321 (W.L. Freedman u.a., 1994), M96 = NGC 3368 (N. R. Tanvir u.a., 1995), NGC 5253 (A. Saha u.a., 1995), NGC 4571 (M. J. Pierce u.a., 1994) und IC 4182 (A. Sandage u.a., 1992) zusammengestellt, wie es die Abb.2 zeigt. In dieser Literatur nicht gefundene Meßwerte wurden den Aufsätzen von J. Huchra u.a. (1983), R. C. Kraan-Korteweg u.a. (1979) und A. Sandage u.a. (1975) entnommen. Glücklicherweise liegt das Objekt, das durch die Mittelwertbildung über die Meßwerte ohne die Einbeziehung von NGC 5253 entsteht, sehr dicht an der mit mA = 22,62 angepaßten theoretischen Kurve. Für das mittlere Objekt ergeben sich die absolute Helligkeit M = -19,91, die scheinbare Helligkeit m = 10,56 und die Rotverschiebung cz = 785,3 km s-1, die lg cz = 2,9 entspricht. Da nun in einer ersten Näherung mA und M bekannt sind, können auch die physikalischen Größen DA, HA sowie rA und die Masse MU ermittelt werden. Über Gleichung (22) wird DA = 3206 Mpc berechnet. Mit diesem Wert ergibt sich der Hubble-Parameter zu HA = 62,34 km Mpc-1 s-1. Dies wiederum führt auf eine Hubble-Zeit von tH = 1/HA = 15,7 x 109 Jahre. Damit gibt es kaum eine Diskrepanz zum angenommenen Alter der ältesten Kugelsternhaufen (vgl. z.B. mit M. Bolte u.a., 1995). Aus Gleichung (19a) ergibt sich die derzeit aktuelle mittlere Dichte des sichtbaren Teils des Weltalls (Kugel mit dem Radius DA) zu rA = 7,3 x 10-30 g cm-3. Die sich ausdehnende Kugel hat somit eine Masse von MU = 2,96 x 1055 g. Diese Masse umfaßt alle zur Gravitation fähigen Bestandteile der Metagalaxis: Materie aus gewöhnlichen Teilchen, Strahlung und sämtliche sonstigen Energieformen. Wird mittels MU über die Gleichung (19b) RSA ausgerechnet, ergibt sich gerade RSA = DA, d.h. in den angegebenen Formeln kann statt DA auch stets RSA geschrieben werden.

Die angegebenen Werte können nur als eine erste Näherung betrachtet werden, da das gefundene mittlere Objekt nicht genau auf der theoretischen Kurve liegt, und die Daten in logarithmischer Form vorliegen. Bereits eine geringfügige Änderung einer der Ausgangsgrößen zieht relativ große Verschiebungen der daraus berechneten Werte nach sich. Außerdem ist die Bildung eines Mittelwertes M über nur 4 extragalaktische Objekte statistisch gesehen bedenklich. - Da hier nur das Prinzip zur Auffindung der theoretisch abgeleiteten Parameter erklärt wird, werden keine Abschätzungen zu den Fehlergrenzen gegeben.

In Abb.3 wird die Theorie mit dem Hubble-Diagramm der Radiogalaxien (Dreiecke) nach A. Sandage (1972) verglichen. Um auch auf die Bedeutung der neuen theoretischen Beziehungen für die Quasare hinzuweisen, sind in dieser Abbildung Intervallmittelwerte der 13214 Quasare (Quadrate) nach M.-P. Véron-Cetty u.a. (2000) eingetragen. Die punktierte Linie ist die bestangepaßte Kurve nur durch die Radiogalaxien. Die Theorie wurde über die Gleichung (23) an die Mittelwerte der Quasare angepaßt, wodurch sich für diese kosmischen Objekte eine mittlere absolute Helligkeit von etwa MQ = -23,07 ergibt. Die Anpassung der Theorie an die Radiogalaxien führt auf MRG = -22,8 (A. Sandage erhielt für H0 = 50 km s-1 Mpc-1 M = -22,98). Die gestrichelte Linie entspricht der herkömmlichen theoretischen Ableitung des Hubble-Gesetzes aus der Literatur für einen Verzögerungsparameter von q0 = 1/2, wenn die dort frei verfügbare Konstante mit Hilfe der Galaxien des CfA-Kataloges festgelegt wird [siehe Gleichung (xxx)]. Beeindruckend ist, daß die hier neu abgeleitete theoretische Kurve genau durch die Mittelwerte der Quasare verläuft. Hierdurch kann das Problem der bisher als sehr groß anzunehmenden Strahlungsleistung der Quasare relativiert werden. Diese Objekte sind im Mittel nicht wesentlich absolut heller als Radiogalaxien. Es zeigt sich aber auch, daß die absolute Helligkeit der Quasare stark um den Wert MQ schwankt. Um dies deutlicher zu sehen, wurden in dem Hubble-Diagramm auch noch die maximalen (Kreuze) und minimalen (Pluszeichen) scheinbaren Helligkeiten innerhalb der Intervalle eingezeichnet. Die Auswertung dieses Hubble-Diagramms ergibt außerdem, daß die Rotverschiebung durchaus als Entfernungsindikator für die Quasare benutzt werden kann, während sich die scheinbare Helligkeit hierfür nicht eignet. Es sei an dieser Stelle ausdrücklich darauf hingewiesen, daß die in der allgemeinen Fachliteratur zu findende Gleichung (xxx) für das Hubble-Diagramm im Bereich großer Rotverschiebungen regelrecht versagt.

Auch soll noch ein Vergleich der Theorie mit zwei originalen Hubble-Diagrammen (E. Hubble, 1936) gegeben werden. Die Abb.4 zeigt, daß bereits die durch E. Hubble aufgelisteten Meßwerte von Feldgalaxien gut mit denen der modernen Astrophysik übereinstimmen (mA = 22,3). Aus der Abb.5 wird für die Mittelwerte hellster Cluster-Galaxien die mittlere absolute Helligkeit M = -21,6 abgelesen, wenn DA = 3206 Mpc angesetzt wird.


zurück zum Inhalt

Literatur:

Bolte, M; Hogan, C. J.:
        Nature 376 (1995), S.399
Djorgovski, S.; Spinrad, H. und Marr, J.:
        New Aspects of Galaxy Photometry; Lecture Notes in Physics 232 (1985) S.193
        Herausgeber: Nieto, J.L.; Springer Verlag; Berlin 1985
Freedman, W. L.; Madore, B. F.; Mould, J. R.; Hill, R.; Ferrarese, L.; Kennicutt Jr, R. C.; Saha, A.; Stetson, P. B.; Graham, J. A; Ford, H.; Hoessel, J. G.; Huchra, J.; Hughes, J. M. und Illingworth, G. D.:
        Nature 371 (1994), S.757
Hubble, E.:
        The Astrophysical Journal, 84 (1936), S.270
Huchra, J.; Davis, M.; Latham, D. und Tonry, J.:
        The Astrophysical Journal Supplement Series, 52 (1983), S.89
Kraan-Korteweg, R. C. und Tammann, G. A.:
        Astronomische Nachrichten 300 (1979), Heft 4, S.181
Pierce, M. J.; Welch, D. L.; McClure, R. D.; van den Bergh, S.; Racine,R. und Stetson, P. B.:
        Nature 371 (1994), S.385
Saha, A.; Sandage, A.; Labhardt, L.; Schwengeler, H.; Tammann, G. A.; Panagia, N. und Macchetto, F. D.:
        The Astrophysical Journal, 438 (1995), S.8
Sandage, A.:
        The Astrophysical Journal, 178 (1972), S.25
Sandage, A. und Tammann, G.A.:
        The Astrophysical Journal, 196 (1975), S.313
Sandage, A.; Saha, A.; Tammann, G. A.; Panagia, N. und Macchetto, D.:
        The Astrophysical Journal, 401 (1992), L7
Sandage, A. R.:
         in Sandage, A.; Kron, R.G. und Longair, M.S.:
        The Deep Universe, Springer-Verlag, 1995,
        (Saas-Fee Advanced Course 23, Lecture Notes 1993,
        Swiss Society for Astrophysics and Astronomy,
        Herausgeber: B.Binggeli und R.Buser)
Tanvir, N. R.; Shanks, T.; Ferguson, H. C. und Robinson, D. R. T.:
        Nature 377 (1995), S.27
Véron-Cetty, M.-P. und Véron, P.:
        "A Catalogue of Quasars and Active Nuclei", 9th edition, March 2000, http://www.obs-hp.fr oder A&AR (im Druck)
Yoshii, Y. und Takahara, F.:
        The Astrophysical Journal, 326 (1988), S.1


zurück zum Inhalt

Abbildungen:

Abb. 1
Abb. 1:

Hubble-Diagramm nach J. Huchra u.a. (1983). Die gestrichelte gerade Linie ist die bestangepaßte Kurve durch die Intervallmittelwerte der Galaxien. Für die theoretische Kurve gilt mA = 22,62.

zurück


Abb. 2
Abb. 2:

Hubble-Diagramm nach W. L. Freedman u.a. (1994), M. J. Pierce u.a. (1994), A. Saha u.a. (1995), A. Sandage u.a. (1992) und N. R. Tanvir u.a. (1995) sowie A. Sandage u.a. (1975), R. C. Kraan-Korteweg u.a. (1979) und J. Huchra u.a. (1983) zur Bildung eines Mittelwert-Objektes. Erläuterungen hierzu sind im Text.

zurück


Abb. 3
Abb. 3:

Hubble-Diagramm für Radiogalaxien nach A. Sandage (1972) und Quasare nach M.-P. Véron-Cetty (März 2000). Die gekrümmte durchgezogene Linie entspricht der neuen Hubble-Beziehung, die mit MQ = -23,07 an die Intervallmittelwerte der Quasare (Quadrate) angepaßt worden ist. Die gestrichelte Linie entspricht der Theorie aus der Literatur. Sie wurde an die Radiogalaxien (Dreiecke) angepaßt. Die punktierte Linie ist die beste Kurve durch die Radiogalaxien. Die Kreuze links im Bild sind die maximalen scheinbaren Helligkeiten je Rotverschiebungsintervall, während die Pluszeichen rechts die minimalen scheinbaren Helligkeiten der Quasare repräsentieren. Die Quasare sind mit etwa MQ = -23,07 im Mittel nur wenig heller als die hier zum Vergleich benutzten Radiogalaxien, für die MRG = -22,8 gefunden wird.

zurück


Abb. 4
Abb. 4:

Rotverschiebungs-Helligkeits-Diagramm für die Feldgalaxien nach E. Hubble (1936). Die bestangepaßte Kurve liefert mA = 22,3. Die Theorie (durchgezogene Linie) wurde hier nur mit dem z-selektiven Term k-korrigiert.

zurück


Abb. 5
Abb. 5:

Rotverschiebungs-Helligkeits-Diagramm für die Mittelwerte der hellsten Cluster-Galaxien nach E. Hubble (1936). Die bestangepaßte Kurve führt auf die mittlere absolute Helligkeit von M = -21,6 für mA = 22,62 und DA = 3206 Mpc. Die Theorie (durchgezogene Linie) wurde hier nur mit dem z-selektiven Term k-korrigiert.

zurück

zum nächsten Artikel zurück zum Inhalt zurück zur Artikelauswahl Kontakt

Copyright by Steffen Haase, Leipzig, 1998 and 1999

letzte inhaltliche Änderung: 01.03.2005
letzte Schreibfehlerkorrektur: 10.12.2006